Befolkningens språk, födelseort och medborgarskap 31.12.2024
| Nyare uppgifter har publicerats inom ramen för denna statistik. Du hittar den nyaste publiceringen under statistikområdet Befolkning. |
Ukrainska, engelska och arabiska ökade på Åland 2024
Invånare födda utanför Åland stod för hela befolkningstillväxten 2024. Personer födda i Sverige, Ukraina och utanför Europa blev flera.
Detta framgår av statistiken som visar hur Ålands befolkning fördelar sig på språk, födelseort och medborgarskap och som nu är uppdaterad med uppgifter för 31 december 2024 i tabellerna på ÅSUBs webbplats.
Invånare efter födelseort och språk 2024 samt förändring från 2000 och 2023
Invånare från Sverige och utomeuropeiska länder ökade
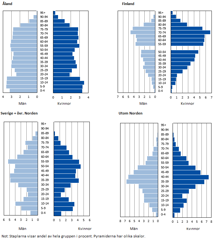
Av de 30 654 invånarna är över 18 700 födda på Åland. Drygt 11 900 eller 39 procent har en födelseort utanför Åland, 18 procent i Finland, 11 procent i Sverige och 9 procent i utomnordiska länder. De som är födda i Sverige ökade med 80 under året, medan invånarna från Europa utanför Norden blev 20 flera och de som är födda i andra världsdelar ökade med 60 personer.
Invånarna som är födda på Åland minskade däremot med ett trettiotal, vilket kan förklaras med att det föddes få barn. De som är födda i Finland blev nästan 50 färre. Denna grupp har en åldersstruktur med många äldre, hälften har fyllt 60 år. Pyramiderna nedan visar att de som är födda i Sverige har en yngre åldersfördelning med en stor del i åldrarna 35–60, men också många i skolåldern. De som är födda utanför Norden har tyngdpunkten i 35–50-årsåldern.
Kvinnorna är i majoritet bland de som är födda i Finland och utanför Norden, medan flera män än kvinnor är födda på Åland och i Sverige.
Befolkningspyramider efter födelseort 2024 
En stor del av ökningen av den utomnordiska befolkningen på Åland under 2000-talet har bestått av invånare födda i Rumänien, Lettland och Estland. Sammanlagt bor över 1 000 personer från dessa länder på Åland, men nu verkar tillväxten ha stagnerat och 2024 blev det en liten minskning för alla tre länder. Att invånarna födda i Europa utom Norden ändå ökade beror främst på att ukrainarna blev flera. De som har Ukraina som födelseland ökade med 16 och dessutom tillkom det lika många som har ukrainskt medborgarskap och modersmål, men där födelselandet är angivet till Sovjetunionen eller okänt. Tillskottet av invånare från andra världsdelar kommer från en mängd olika länder, bland annat Filippinerna, Marocko och USA.
Femton procent har något annat språk än svenska
Invånarna som är registrerade med svenska som modersmål ökade med ett tjugotal, medan de som har andra språk blev drygt 90 flera. Över 4 500 personer eller 15 procent av befolkningen har något annat språk än svenska. Mest ökade ukrainska, plus 34 personer, medan engelska och arabiska gick framåt med runt 20 personer vardera. Finska, estniska och lettiska minskade något.
Förändring av antalet personer efter språk 2024
Av de 200 engelskspråkiga som bor på Åland är 60 födda i Storbritannien och Irland, 40 i USA och Kanada, drygt 10 i Australien och Nya Zeeland samt 50 personer i olika asiatiska och afrikanska länder. De 120 invånarna med arabiska som modersmål kommer främst från Marocko och Syrien, men även från ett antal andra länder i Asien och Afrika.
Av de över 26 000 svenskspråkiga invånarna är 30 procent födda utanför Åland, varav 4 300 i Finland och 3 200 i Sverige. Det var personer födda i Sverige som stod för ökningen av antalet svenskspråkiga på Åland 2024.
Tolv procent är utländska medborgare
Tolv procent av befolkningen eller närmare 3 800 personer är utländska medborgare, varav 1 600 är medborgare i Sverige, 1 300 i andra EU-länder och 900 i länder utanför EU. Därtill kommer att över 3 200 av de finländska medborgarna har medborgarskap också i något annat land.
Totalt är befolkningen fördelad på 88 medborgarskapsländer, 110 födelseländer och 76 språk.
Exceltabeller på ÅSUBs webbplats visar befolkningsstrukturen för Åland och kommunerna.
Använd gärna fakta ur den här nyheten men kom ihåg att ange Källa: ÅSUB